2023年2月6日,《自然》旗下期刊《通讯-生物学》(Communications Biology)以“Ocean warming and acidification affect the transitional C:N:P ratio and macromolecular accumulation in the harmful raphidophyte Heterosigma akashiwo”为题在线发表了孙军教授团队在海洋暖化和酸化环境下导致有害藻类Heterosigma akashiwo发生死亡机制的研究成果。
大气中CO2浓度的增加驱动了海洋暖化及酸化,而温度和CO2与细胞的生理机能直接相关,因此海洋变暖和酸化这些环境压力将推动浮游植物生态系统的巨大变化。Heterosigma akashiwo在全球海洋中广泛存在,前人的研究已经指出光照、温度、营养水平、pCO2、盐度和其他微生物可以改变Heterosigma akashiwo的生长及水华形成,且在温度升高3-5°C时,Heterosigma akashiwo因温度或热应激反应(HSR)而发生程序性细胞死亡(PCD)。然而,在温度结合pCO2的环境下,Heterosigma akashiwo如何驱动PCD并未有研究报道。因此本文就该科学问题进行一些列研究。
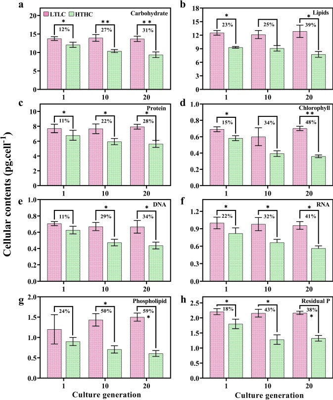
在本研究中,我们考虑目前和未来的海洋环境,目前海洋环境(低温;低二氧化碳[LTC]21℃; pCO2 400 ppm)和未来海洋环境(高温;高二氧化碳[HTHC]25℃;pCO2 1000 ppm)对Heterosigma akashiwo进行第1、10和20代培养。通过培养发现,与第1代细胞相比,20代细胞在HTHC条件下的碳配额(QC:34%)、氮配额(QN:36%)和磷配额(QP:32%)都出现了大幅下降(图1),这同时也体现在DNA和RNA总体数量减少上。在长期(第20代)暴露于HTHC条件下,光合作用、碳固定和脂质代谢活性减少与光合作用效率、碳浓度和脂质积累的变化相一致(图2)。

图1不同代赤藻在LTLC和HTHC条件下的元素和化学计量学变化。

图2在LTLC和HTHC条件下,不同代赤藻的宏观(碳水化合物、脂质和蛋白质)和次要(叶绿素、DNA、RNA、磷脂和残磷)分子含量的变化。
同时,本研究通过转录组分析发现,Heterosigma akashiwo内部代谢途径的变化是由温度的外部变化和pCO2的外部变化引起的,前者激活了(Ca+)信号途径,后者改变了质子交换途径(图3,图4)。我们的结果表明,未来的海洋环境可能会深刻地改变Heterosigma akashiwo群落在C:N:P比例和大分子积累特性,从而导致细胞程序性死亡,尤其是在温带环境中。

图3藻类温度温度感应模式图。(a)温度变化影响藻类的不同代谢过程,(b)藻类在应对温度压力时激活的信号转导途径。

图4离子载体对藻代谢中细胞质pH的调节。
本研究首次讨论了Heterosigma akashiwo在高温和pCO 2作用下引起的代谢改变的信号转导过程,该研究可为未来研究海洋暖化和酸化对藻类的影响提供借鉴。
上述研究由探花视频 孙军教授(通讯作者,导师)和Satheeswaran Thangaraj(博士后,一作)和共同完成,广州南沙地大滨海研究院为第一通讯单位。
论文引用:
Satheeswaran Thangaraj1,2,3,4 & Jun Sun 1,2,5✉ Ocean warming and acidification affect the transitional C:N:P ratio and macromolecular accumulation in the harmful raphidophyte Heterosigma aka